PR值全称为PageRank(网页级别),PR值是Google用于标识网页的等级、重要性、网站的好坏的重要标准之一。级别从0到10级为满分。PR值越高说明该网页越受欢迎。例如:一个PR值为1的网站表明这个网站不太具有流行度,而PR值为5到10则表明这个网站非常受欢迎(或者说极其重要)。一般PR值达到4,就算是一个不错的网站了。Google把自己的网站的PR值定到9,这说明Google这个网站是非常受欢迎的,也可以说这个网站非常重要。那么PR值是怎么计算的呢?

一、百度权重
百度权重是站长工具推出的针对网站优化关键词排名预计给网站带来流量,划分出0-9十个等级的第三方网站欢迎度评估数据。百度官方目前只公开了竞价推广用户提供0-10不同分值关键词质量度的评级。权重数值越大,说明网站自然流量越大,自然流量大,那么相应的关键词排名就相对靠前,权重,流量,关键词排名三者之间是相辅相成的。关键词的数量越多,积累的权重也会越高,不过,这还要看关键词的流量,如果关键词的流量非常的低,即便排名很靠前,权重也不会积累到很多,不过可以积少成多。
百度权重的规则:
|
权重0 |
无 |
权重1 |
百度预计流量1~99 |
|
权重2 |
百度预计流量100~499 |
权重3 |
百度预计流量500~999 |
|
权重4 |
百度预计流量1000~4999 |
权重5 |
百度预计流量5000~9999 |
|
权重6 |
百度预计流量10000~49999 |
权重7 |
百度预计流量50000~199999 |
|
权重8 |
百度预计流量200000~999999 |
权重9 |
百度预计流量1000000以上 |
二、360权重
360搜索引擎其实并没有官方的权重查询,站长工具给出的权重其实是根据网站的关键词在360搜索引擎的排名情况,以及关键词所带来的流量,计算出的权重,仅作为网站数据分析的参考。虽然官方没有公布权重,但是可以肯定的是网页重要性标准的诸多算法中PR算法肯定是应用在里面的。
无论是自己算法还是参考谷歌的PR,都是对PR算法修正与完善。作为站长,不能一味的盲目追求PR,切不要以为PR值就代表着网站的一切,相反的是只有把用户体验做到极致,解决用户的痛点,google才能对页面提供重要性的衡量标准,PR值是只是页面重要性判断的结果,不是实现页面重要性的方法,切不要颠倒主次。
三、google PR值的算法
1、PR值计算方法
假设一个由4个页面组成的小团体:A,B, C 和 D。如果所有页面都链向A,那么A的PR(PageRank)值将是B,C 及 D的和。
PR(A) = PR(B) + PR(C) + PR(D)
继续假设B也有链接到C,并且D也有链接到包括A的3个页面。一个页面不能投票2次。所以B给每个页面半票。以同样的逻辑,D投出的票只有三分之一算到了A的 PageRank 上。
PR(A) =PR(B) /2+PR(C) /1+PR(D)/3
换句话说,根据链处总数平分一个页面的PR值。
PR(A) =PR(B) /L(B)+PR(C) /L(C)+PR(D)/L(D)
最后,所有这些被换算为一个百分比再乘上一个系数q。由于下面的算法,没有页面的PageRank会是0。所以,Google通过数学系统给了每个页面一个最小值1−q。
PR(A) =(PR(B) /L(B)+PR(C) /L(C)+PR(D)/L(D)+…+PR(N)/L(N))q+1-q
所以一个页面的 PageRank 是由其他页面的PageRank计算得到。Google 不断的重复计算每个页面的 PageRank。如果您给每个页面一个随机 PageRank 值(非0),那么经过不断的重复计算,这些页面的 PR 值会趋向于正常和稳定。这就是搜索引擎使用它的原因。
其中,PR(A):指网页A的佩奇等级(PR值)
PR(B)、PR(C)…PR(N)表示链接网页A的网页N的佩奇等级(PR)。N是链接的总数,这个链接可以使来自任何网站的导入链接(反向链接)。
L(N):网页N往其他网站链接的数量(网页N的导出链接数量)
q:阻尼系数,介于0-1之间,google设为0.85.
从上面的公式我们可以看到网页A的PR是由链接它的其他网页L(N)所决定的。在网页L(N)中如果有一个链接指向网页A,那么A就得到了一个“投票气而这个投票来自网上任何一张网页。每个“投票”都是表示一份“支持”。越多的链接指向网页A,网页A的PR值或者等级就越高。没有链接就是没有一个网页支持A。
但是不同网页的PR值不同,所以不同的网页给网页A的投票权重是不一样的。
2、完整的PR值计算方法
这个方程式引入了随机浏览的概念,即有人上网无聊随机打开一些页面,点一些链接。一个页面的PageRank值也影响了它被随机浏览的概率。为了便于理解,这里假设上网者不断点网页上的链接,最终到了一个没有任何链出页面的网页,这时候上网者会随机到另外的网页开始浏览。
为了对那些有链出的页面公平,q = 0.15(q的指阻尼系数)的算法被用到了所有页面上,估算页面可能被上网者放入书签的概率。
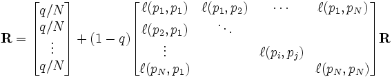
所以,这个等式如下:

p1,p2,…,pN是被研究的页面,M(pi)是链入pi页面的数量,L(pj)是pj链出页面的数量,PageRank值是一个特殊矩阵中的特征向量。这个特征向量为

R是等式的答案

如果pj不链向pi, 而且对每个j都成立时,等于 0


康维主机测评-网站SEO优化







